Физический смысл групповой задержки фильтра. Цифровые фильтры с линейной фазочастотной характеристикой

Содержание

Введение
Ранее мы рассмотрели структуры цифровых фильтров и их характеристики. Мы рассмотрели понятия амплитудно-частной (АЧХ), фазочастотной (ФЧХ) характеристик, а также понятие групповой задержки фильтра. В данной статье мы проанализируем физический смысл ФЧХ и групповой задержки. Рассмотрим свойство фильтров с линейной ФЧХ и получим условия линейности ФЧХ цифрового фильтра.

Физический смысл ФЧХ и групповой задержки. Свойство линейности ФЧХ фильтра
Очень часто при расчете цифровых фильтров ставится задача обеспечить постоянную групповую задержку или линейную фазочастотную характеристику (ФЧХ). В данной статье речь пойдет именно о фильтрах с линейной ФЧХ, и будут получены условия при которых цифровой фильтр будет иметь строго линейную фазочастотную характеристику.
Если фильтр задан импульсной характеристикой , где , то его комплексный коэффициент передачи равен:
(1)
Также вводят понятие групповой задержки как производной от ФЧХ:
(2)
Смысл групповой задержки можно пояснить следующим образом. Отклик физически реализуемого фильтра всегда возникает не раньше воздействия, при этом фильтр задерживает входной сигнал при фильтрации на некоторое время. При этом если подавать на фильтр сигналы разной частоты, то сигнал на выходе одного и того же фильтра могут быть задержаны на разное время. Эта задержка выражается в сдвиге фазы сигнала на выходе относительно сигнала на входе. Групповая задержка при этом характеризует изменение временного сдвига сигнала, который получается в результате фазового сдвига. Проиллюстрируем это рисунком 1.


Рисунок 1: Взаимосвязь фазового и временного сдвига сигнала

Пусть на вход некоторого фильтра подается сигнал , причем ФЧХ фильтра на частоте сигнала равна . Тогда сигнал на выходе будет сдвинут относительно входного на , как это показано на графике. При этом этот сдвиг фазы соответствует временному сдвигу . Соответственно на некоторой другой частоте временной сдвиг будет , а изменение этого временного сдвига будет зависеть от изменения ФЧХ от частоты, т.е. . Это и определяет групповая задержка: изменение временного сдвига при изменении частоты.
Если ФЧХ линейна, то групповая задержка постоянна, т.е. при изменении частоты сигнала она не меняется.
При нелинейной ФЧХ разные частоты приобретают разные фазовые сдвиги и соответственно разные временные задержки на выходе фильтра. Чтобы понять это проведем следующий эксперимент.
Пусть имеется сигнал, у которого во времени меняется мгновенная частота. В качестве такого можно взять сигнал с фазовой модуляцией (PM) вида:
(3)
Пропустим данный сигнал через фильтр с постоянной групповой задержкой (линейной ФЧХ) и через фильтр с нелинейной ФЧХ, т.е. непостоянной задержкой. Причем параметры АЧХ фильтров с линейной и нелинейной ФЧХ выберем таким образом, чтобы фильтры не вносили амплитудных искажений в амплитудный спектр сигнала . Это наглядно показано на рисунках 2 и 3. При этом на рисунках 3 и 4 показаны осциллограммы исходного PM сигнала (красный график) и сигналов на выходе фильтров с линейной и нелинейной ФЧХ (синий график) при компенсации постоянной задержки в фильтре.

Для просмотра SVG графики Вам необходимо обновить браузер

Рисунок 2: Фильтрация PM сигнала при помощи фильтра с линейной ФЧХ


Для просмотра SVG графики Вам необходимо обновить браузер

Рисунок 3: Фильтрация PM сигнала при помощи фильтра с нелинейной ФЧХ


Для просмотра SVG графики Вам необходимо обновить браузер

Рисунок 4: PM cигнал на выходе фильтра с линейной ФЧХ при компенсации задержки


Для просмотра SVG графики Вам необходимо обновить браузер

Рисунок 5: PM cигнал на выходе фильтра с нелинейной ФЧХ при компенсации задержки

Из рисунка 4 следует, что сигнал на выходе фильтра полностью повторяет сигнал на входе (разумеется небольшие амплитудные искажения есть из-за неидеальности фильтра, но для нас самое главное, что фаза исходного сигнала и выходного сигнала совпадают). При этом выходной сигнал был сдвинут по оси времени для устранения постоянной задержки фильтра. Из рисунка 5 можно заметить, что скомпенсировать задержку невозможно, поскольку она меняется при изменении мгновенной частоты сигнала. Так компенсация задержки при высокой мгновенной частоте (в интервале от 100 до 150 мкс) фаза сигналов при низкой мгновенной частоте (в интервале от 50 до 100 мкс) не совпадает. Таким образом нелинейная ФЧХ фильтра привела к фазовым искажениям нашего сигнала, хотя амплитудные искажения минимальны так как АЧХ фильтра выбрана таким образом, чтобы сигнал не искажался.
Приведенный пример наглядно показывает, что нелинейная ФЧХ фильтра искажает сигнал и это надо учитывать, поскольку например при когерентной обработке искажения фазы недопустимы.
Теперь когда понятна необходимость использования фильтров с линейной ФЧХ мы исследуем свойства импульсных характеристик, которые обеспечивают эту самую линейную ФЧХ.

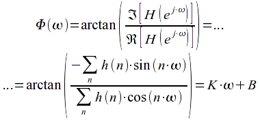
Условие линейности ФЧХ фильтра
Зададим линейную ФЧХ цифрового фильтра вида:
, (4)
где - тангенс угла наклона ФЧХ, а . Согласно определению, ФЧХ можно получить из комплексного коэффициента передачи цифрового фильтра :
(5)
Групповая задержка фильтра при этом будет равна . При отрицательном мы получим положительную групповую задержку, что важно, так как отрицательная задержка соответствует физически нереализуемым фильтрам, когда отклик на воздействие возникает раньше самого воздействия.
Из выражения (5) можно выразить:
(6)
Откуда в свою очередь следует, что:
(7)
Вспомним тригонометрические тождества, тогда (7) можно представить:
(8)
После переноса в одну сторону и упрощения выражения (8) получим:
(9)
Таким образом выражение (9) задает уравнение, которому должна удовлетворять импульсная характеристика цифрового фильтра, чтобы фильтр имел линейную ФЧХ. Уравнение (9) должно выполняться при фиксированных и и для всех .

Импульсные характеристики КИХ фильтров обеспечивающие линейную ФЧХ
Произведем анализ выражения (9) для случая физически реализуемого КИХ фильтра порядка (импульсная характеристика содержит отличных от нуля коэффициентов, а порядок фильтра определяется количеством линий задержек фильтра). Условие физической реализуемости КИХ фильтра выполняется если при всех и . Тогда индекс в сумме (9) будет принимать значения от 0 до :
(10)
Прежде чем вести дальнейший анализ введем понятия оси симметрии импульсной характеристики КИХ фильтра. Осью симметрии импульсной характеристики назовем значение (не обязательно целое), которое делит интервал от 0 до пополам. Чтобы понять это рассмотрим рисунок 6.


Рисунок 6: Ось симметрии имульсной характеристики цифрового КИХ фильтра нечетного (а) и четного (б) порядков

На рисунке 6 красным условно показана импульсная характеристика цифрового физически реализуемого КИХ фильтра порядка и отмечена ось симметрии . Обратим внимание, что в случае нечетного порядка ось симметрии - дробное число, а в случае четного порядка , ось симметрии совпадает с «центральным отсчетом» . Напомним, что нечетный порядок фильтра соответствует четному количеству отсчетов импульсной характеристики.
Рассмотрим два частных случая, при которых КИХ фильтр имеет строго линейную ФЧХ.
Фильтр первого типа получается когда параметры равны , или . Такие параметры приводят к уравнению вида:
(11)
Уравнение (11) выполняется если при , если четно, или при , если нечетно. Наглядно этот случай отображен на рисунке 7.


Рисунок 7: Фильтр с линейной ФЧХ и симметричной импульсной характеристикой при нечетном и четном порядках фильтра.

Поясним рисунок 7. Параметр выбран таким образом чтобы синус всегда имел ноль на оси симметрии, т.е. при . Таким образом получили синус, которые антисимметричен относительно оси симметрии фильтра при любой частоте . Тогда если справа и слева от оси симметрии импульсная характеристика будет иметь одинаковые значения, как это показано на рисунке, то (11) будет иметь сумму слагаемых с противоположными знаками, которые взаимно скомпенсируют друг друга и получим фильтр с линейной ФЧХ. Важно отметить, что при четном порядке (нижний график рисунка 7) центральный отсчет импульсной характеристики попадает на ноль синуса и снова получаем фильтр с линейной ФЧХ. Таким образом фильтр с симметричной относительно оси симметрии импульсной характеристикой всегда приводит к линейной ФЧХ.
Параметры для фильтр второго типа следующие: , или . Тогда получаем уравнение вида:
(12)
Уравнение (12) выполняется если при , если четно, или при , если нечетно. Наглядно этот случай отображен на рисунке 8.

Рисунок 8: Фильтр с линейной ФЧХ и антисимметричной импульсной характеристикой

Поясним рисунок 8. Параметр выбран таким образом чтобы всегда имел единицу на оси симметрии, т.е. при . Таким образом получили косинус, который симметричен относительно оси симметрии фильтра при любой частоте . Тогда если справа и слева от оси симметрии импульсная характеристика будет иметь противоположные значения, как это показано на рисунке, то (12) будет иметь сумму слагаемых с противоположными знаками, которые взаимно скомпенсируют друг друга и получим фильтр с линейной ФЧХ. Важно отметить что при четном порядке (нижний график рисунка 8) центральный отсчет импульсной характеристики попадает на единицу и он должен быть нулевым для фильтра с линейной ФЧХ. Таким образом фильтр с антисимметричной относительно оси симметрии импульсной характеристикой всегда приводит к линейной ФЧХ.
Теперь необходимо сделать замечания.
Замечание 1. КИХ фильтры с симметричной или антисимметричной импульсной характеристикой лишь частный случай КИХ фильтров с линейной ФЧХ. Возможно обеспечить линейную ФЧХ КИХ фильтра при нарушении симметрии импульсной характеристики, но для большинства задач это не является необходимым.
Замечание 2. Поскольку БИХ фильтры не обладают свойствами симметрии импульсной характеристики и не могут иметь линейную ФЧХ. В книге [ОШ2 стр. 307] упоминается , что существует доказательство невозможности построения физически реализуемого БИХ фильтра с линейной ФЧХ.

Выводы
В данной статье мы проанализировали физический смысл ФЧХ и групповой задержки. Было установлено, что групповая задержка показывает изменение задержки сигнала на выходе фильтра при изменении частоты сигнала на входе. При этом нелинейная ФЧХ фильтра может исказить сигнал с изменяющейся во времени мгновенной частотой и это надо учитывать при когерентной обработке. Также были сформулированы требования к импульсной характеристике цифрового фильтра и получены условия при которых КИХ фильтр обладает строго линейной ФЧХ. Показано, что КИХ фильтры с импульсной характеристикой симметричной (антисимметричной) относительно оси симметрии обладают линейной ФЧХ. Полученные условия будут использованы при проектировании цифровых КИХ фильтров.

Любые вопросы и пожелания вы можете оставить в гостевой книге, на форуме, или прислать по электронной почте admin@coslightnewgen.ru


Система Orphus
Любое копирование материалов сайта без разрешения автора запрещено.
Разработка и дизайн Бахурин Сергей.