Структуры цифровых фильтров и их характеристики

Содержание

Введение
Ранее мы рассмотрели разностные уравнения цифровых фильтров в виде:
(1)
где - отсчеты на выходе фильтра, - входные отсчеты, и - коэффициенты числителя и знаменателя передаточной характеристики фильтра соответственно. Также мы говорили о том, что если все коэффициенты кроме равны нулю, то такой фильтр называется КИХ-фильтром, а если хотя бы один коэффициент помимо отличен от нуля, то такой фильтр называется БИХ-фильтр.
В данной статье мы рассмотрим структурные схемы цифровых фильтров и их характеристики.

Основные обозначения
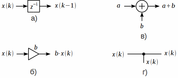
Согласно выражению (1), сигнал на выходе фильтра зависит от задержанного входного сигнала, а также от предыдущих отсчетов на выходе, поэтому для реализации фильтра нам потребуются линии задержки. Вспомним, что согласно z-преобразованию, задержка на один отсчет соответствует умножению образа на . Также нам потребуются умножители на постоянные коэффициенты и и сумматоры. На рисунке 1 показаны обозначения основных блоков для построения цифрового фильтра.


Рисунок 1: Обозначения блоков цифрового фильтра

На рисунке 1 а) обозначена линия задержки, 1 б) умножитель на константу, 1 в) сумматор и 1 г) разветвление.

Структурная схема КИХ-фильтра
Разностное уравнение КИХ фильтра не содержит рекурсивной части:
(2)
Выражение (2) получается из выражения (1) при и .
Структурная схема нерекурсивного КИХ-фильтра показана на рисунке 2.


Рисунок 2: Структурная схема нерекурсивного КИХ-фильтра

КИХ фильтр порядка содержит линий задержки и коэффициент. Если коэффициент , то получим КИХ фильтр порядка у которого умножение на будет тривиальным. Импульсная характеристика КИХ-фильтра всегда конечна и полностью совпадает с коэффициентами фильтра.

Структурные схемы БИХ-фильтра. Прямая и каноническая формы БИХ-фильтра
При построении БИХ-фильтра перепишем уравнение (1) к виду:
(3)
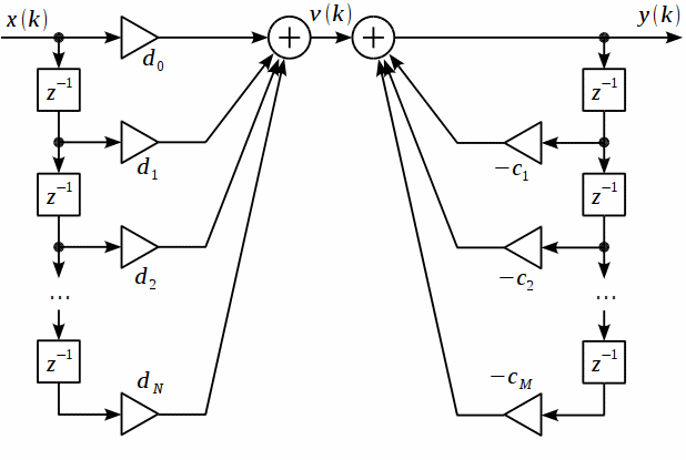
В выражении (3) можно выделить нерекурсивную составляющую и рекурсивную . Тогда БИХ-фильтр можно представить как сумму нерекурсивной и рекурсивной составляющих, как это показано на рисунке 3.


Рисунок 3: Прямая форма БИХ-фильтра

Такое представление БИХ-фильтра называют прямой формой реализации. Обратим внимание, что количество линий задержек БИХ-фильтра равно , что больше чем количество линий задержек КИХ-фильтра того же порядка (напомним, что порядок БИХ-фильтра равен максимальной степени полинома числителя или знаменателя передаточной характеристики фильтра). При этом также обратим внимание, что БИХ фильтр представляет собой каскадное соединение нерекурсивной и рекурсивной частей, которые можно поменять местами. Тогда получим структуру, показанную на рисунке 4.


Рисунок 4: Перестановка нерекурсивной и рекурсивной составляющих БИХ-фильтра

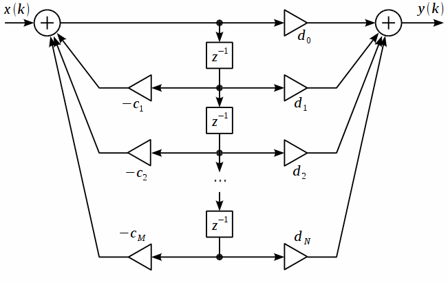
Объединив линии задержки в структуре, показанной на рисунке 4, получим каноническую форму БИХ-фильтра, представленную на рисунке 5.


Рисунок 5: Каноническая форма БИХ-фильтра

В канонической форме БИХ-фильтра количество линий задержек всегда равно порядку фильтра.

Характеристики цифровых фильтров
Ранее мы уже говорили, что цифровой фильтр задается свой передаточной характеристикой , которая представляет отношение z-образов выходного сигнала ко входному :
(4)
При этом мы уже знаем, что z-преобразование мы получили путем отображения комплексной s-плоскости вида где - период дискретизации исходного сигнала и импульсной характеристики фильтра. Без потери общности можно принять , тогда Тогда подставив в передаточную характеристику дискретного фильтра (4) , мы получим передаточную характеристику фильтра по Лапласу, из которой можно получить комплексный коэффициент передачи дискретного фильтра путем подстановки . Таким образом, комплексный коэффициент передачи цифрового фильтра обозначается как и равен:
(5)
Амплитудно-частотная характеристика (АЧХ) цифрового фильтра может быть получена как модуль , а фазочастотная (ФЧХ) как аргумент:
(6)
Также вводят понятие групповой задержки как производной от ФЧХ:
(7)
Обратите внимание, что АЧХ и ФЧХ и групповая задержка цифрового фильтра есть непрерывные функции частоты. При этом согласно (5) периодическая функция с периодом , так как . Последнее равенство не вызывает сомнений, если подставить его в выражение (5). Таким образом, характеристику цифрового фильтра достаточно проанализировать на интервале .
Цифровой фильтр также определяется своей импульсной характеристикой, преобразование Фурье от которой дает комплексный коэффициент передачи. Если комплексный коэффициент передачи — периодическая функция частоты, то импульсная характеристика дискретного фильтра определяется как разложение в ряд Фурье :
. (8)
Рассчитывать импульсную характеристику через интеграл не совсем удобно, кроме того количество отсчетов импульсной характеристики БИХ-фильтра бесконечно, и все их рассчитать невозможно. Однако, если фильтр устойчивый, то убывает, с увеличением , и можно рассчитать заданное количество отсчетов импульсной характеристики фильтра при помощи быстрого преобразования Фурье (FFT).
Пусть требуется рассчитать первых отсчетов импульсной характеристики фильтра, заданного передаточной характеристикой
Первое, что мы должны сделать — рассчитать комплексный коэффициент передачи заданного фильтра. Для численного расчета необходимо задать сетку частот . Тогда на данной сетке частот рассчитаем комплексный коэффициент передачи , таким образом, получим отсчетов комплексного коэффициента передачи фильтра. После этого можно рассчитать импульсную характеристику как , где - оператор обратного быстрого преобразования Фурье. Таким образом, мы рассчитали характеристики фильтра с заданной передаточной характеристикой. Данный путь расчета приводил к комплексному коэффициенту передачи в частотной области, с последующим преобразованием во временную.
На рисунках 6 и 7 показаны рассчитанные характеристики фильтра при и
. (9)


Для просмотра SVG графики Вам необходимо обновить браузер
Рисунок 6: Импульсная характеристика фильтра


Для просмотра SVG графики Вам необходимо обновить браузер
Рисунок 7: Один период АЧХ и ФЧХ фильтра

Обратите внимание, что на рисунке 7 по оси абсцисс показана частота , таким образом, АЧХ и ФЧХ представлена для нормированных частот от 0 до 2. Кроме того, можно заметить, что АЧХ фильтра является симметричной относительно частоты , или , т.е. , а ФЧХ является антисимметричной, т.е. .
Рассмотрим теперь другой способ расчета характеристик фильтра — расчет во временной области. Для этого приведем структурную схему фильтра, заданного передаточной характеристикой (9) (рисунок 8).


Рисунок 8: Структурная схема фильтра

Для того, чтобы получить импульсную характеристику цифрового фильтра, необходимо подать на вход сигнал :
(10)
Тогда на выходе фильтра будет импульсная характеристика. Рассчитаем импульсную характеристику на выходе фильтра по его структуре.
Пусть на входе нулевой отсчет , тогда точка «а» равна 1, «б» и «в» равна нулю, тогда на выходе . При поступлении на вход отсчета получим точка «б» равна 1 (задержанная точка «a»), точка «в» равна 0.7 и точка «а» при равна 0.7, тогда . При имеем: , точка «б» равна 0.7, тогда точка «в» равна , точка «а» равна 0.49 и . Так можно продолжать до бесконечности. Ограничившись как и в предыдущем случае отсчетами импульсной характеристики получим полностью совпадающую с приведенной на рисунке выше. Тогда комплексный коэффициент передачи фильтра можно получить если взять БПФ от импульсной характеристики .
Оба приведенных способа расчета характеристик фильтра имеют приблизительно одну вычислительную сложность и какой из них выбрать решать пользователю.

Выводы
Таким образом, мы привели структурные схемы цифровых КИХ и БИХ фильтров и привели их характеристики. Была представлена структура КИХ фильтра, а также прямая и каноническая формы БИХ фильтров. Рассмотрены характеристики цифровых фильтров: комплексный коэффициент передачи, АЧХ, ФЧХ, групповая задержка и импульсная характеристика фильтра. Приведены способы численного расчета характеристик фильтра по его передаточной функции в частотной и во временной областях.

Любые вопросы и пожелания вы можете оставить в гостевой книге, на форуме, или прислать по электронной почте admin@coslightnewgen.ru


Система Orphus
Любое копирование материалов сайта без разрешения автора запрещено.
Разработка и дизайн Бахурин Сергей.